Nächste Seite: Erzeugung U-verteilter Zufallszahlen
Aufwärts: Woher kommt die U-Verteilung?
Vorherige Seite: Verteilung einer harmonisch schwingenden
Die Feigenbaumdynamik ist gegeben durch
![\begin{displaymath}
x_{n+1} = r\, x_{n}\,(1 - x_{n}), \mbox{ mit }x_{0}\in[0,1].
\end{displaymath}](img28.gif) |
(12) |
Für den Fall
spricht man von vollentwickeltem Chaos, und genau für diesen
Fall soll hier die Verteilung der Variablen
berechnet werden. Man könnte
dazu das Intervall
partitionieren (z.B. in
gleichgroße Klasssen
einteilen) und zählen, wie oft die nach Gleichung (12) Iterierte in jeder
Klasse vorbeikommt. Dies würde zumindest zu einer numerischen Näherung der
Verteilung führen. Hier soll die Verteilung aber anlaytisch berechnet werden.
Dazu wird die Feigenbaumdynamik auf die Zeltdachabbildung
zurückgeführt, was durch die Transformation
 |
(13) |
geschieht. Da die Rechnung in mehreren Schritten
verläuft, soll sie hier vorgeführt werden:
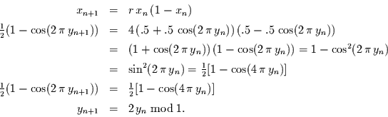
![\begin{displaymath}
\begin{array}{rcl}
x_{n+1} & = & r\,x_{n} \,(1-x_{n}) \\ [...
...{n})]\\ [1ex]
y_{n+1} & = & 2\,y_{n} \bmod 1.
\end{array}
\end{displaymath}](img34.gif) |
(14) |
Nun ist diese Zeltdachabbildung zwischen
und
gleichverteilt. Betrachtet
man andererseits die harmonisch schwingende Zeitreihe,
so reicht es aus, genau eine Schwingung zu untersuchen. Dabei läuft die Zeit
gleichmäßig von
bis
. Sie ist also ebenfalls
zwischen
und
gleichverteilt
(wenn auch nicht zufällig). Die harmonische Schwingung ist dann proportional
zu
und transformiert damit die gleichverteilte Variable
in die U-verteilte Variable
aus Gleichung (5).
Genau das Gleiche geschieht durch Gleichung (13). Sie transformiert
die gleichverteilte Variable der Zeltdachabbildung in die U-verteilte Variable
der Feigenbaumabbildung bei
. Es ist demnach offensichtlich, daß die
trigonometrischen Funktionen
und
gleichverteilte
Variablen in U-vertelte Variablen transformieren.
Nächste Seite: Erzeugung U-verteilter Zufallszahlen
Aufwärts: Woher kommt die U-Verteilung?
Vorherige Seite: Verteilung einer harmonisch schwingenden
ich
2000-01-24