Nächste Seite: Die Farben des Rauschens
Aufwärts: Prozesse mit langem Gedächtnis
Vorherige Seite: Spektren
  Inhalt
Der ARFIMA(0,d,0)-Prozeß
 |
(17) |
mit
und WN=White Noise wird fraktionell
integrierter White-Noise-Prozeß oder einfach FIWN-Prozeß genannt.
In manchen Lehrbüchern (z.B. [14])
findet man auch die merkwürdige
Bezeichnung fraktionell differenzierter White-Noise-Prozeß (FDWN).
Der FIWN-Prozeß mit
ist stationär. Er hat die AR
-Darstellung
 |
(18) |
und die MA
-Darstellung
 |
(19) |
Für
ist er ein Prozeß mit langem Gedächtnis. Dies kann man zeigen,
indem man die
-Funktionen in Gleichung (19) mit der
Stirlingschen Formel approximiert. Die Koeffizienten in Gleichung
(19) verhalten sich dann für große
wie
. Die Koeffizienten
der AR
-Darstellung verhalten sich wie
.
Das Spektrum des FIWN-Prozesses folgt aus Gleichung (15) zu
![\begin{displaymath}
S_{\mbox{FIWN}}(f) =\left[ 2\,\sin(\pi\,f) \right]^{-2d}\, \sigma_{\varepsilon}^{2}.
\end{displaymath}](img70.gif) |
(20) |
Man sieht sofort, daß für kleine Frequenzen die Approximation
![\begin{displaymath}
\lim\limits_{f\to 0} S_{\mbox{FIWN}}(f) =\left[ 2\,\pi\,f \right]^{-2d}\, \sigma_{\varepsilon}^{2}\sim f^{-2d}
\end{displaymath}](img71.gif) |
(21) |
gilt.
Da diese Näherung schon für
recht gut gilt (Fehler
),
bedeutet dies, daß man
in Beobachtungszeitreihen, die aus einem solchen Prozeß stammen,
für Wellenlängen von mehr als ca. zehn Zeitschritten ein
-Rauschen sieht.
Diese Erkenntnis ist zur Schätzung von
aus Daten wichtig.
In Abbildung 1 findet man das
FIWN-Spektrum nach Gleichung (20) und dessen Approximation nach
Gleichung (21).
Abbildung 1:
Exaktes FIWN-Spektrum
(durchgezogene Linie) und dessen
Approximation durch ein
Spektrum (unterbrochene Linie).
 |
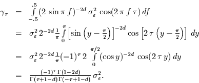
Die Autokovarianzfunktion
kann über das Parsevalsche Theorem
aus dem Spektrum wie folgt berechnet werden:
 |
(22) |
Dabei wurde in der zweiten Zeile
gesetzt und in der dritten
Zeile die Symmetrie des Integrals um
genutzt.
Für die Autokorrelationsfunktion
folgt daraus
 |
(23) |
Mit der Stirlingschen Approximation
und für große
, sowie
folgt dann
 |
(24) |
Für
ist der Prozeß dann ein Prozeß mit langem Gedächtnis.
Nächste Seite: Die Farben des Rauschens
Aufwärts: Prozesse mit langem Gedächtnis
Vorherige Seite: Spektren
  Inhalt
ich
2000-01-25